以前
ミニ四駆モーターの始動特性の測定を行ったのですが、パルスの測定結果が不安定だったり電源電圧が一定でなかったりと色々不備があったので再度始動特性を測定しました。
実験条件は
・大電流確保のため電源は
スーパーキャパシタ25Fを2並列2直列(19A×2)
・テスターで確認しながら3.0Vまでチャージして使用
・
光学式エンコーダを付けたシングルギヤボックスを使用
・パルス値をRL78で計測し10msごとにパルスの差分をシリアル通信で出力
・5回分のデータを最小二乗法にて一時遅れ系近似 y=(1-exp(-x/b))*a
・軽負荷(ギヤのみ)と慣性負荷として出力軸にドリルチャックをつけた2パターン
※同シリーズの
50Fも(33A)も扱うようになったみたいです。
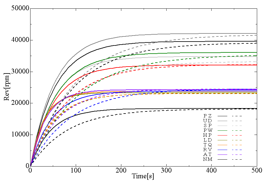
結果

カタログスペックが適正負荷回転数なのに対して無負に近い荷回転数を測定したので相変わらず高い数値になっています。
エンコーダが変わって摩擦負荷が減ったためか 、プラズマダッシュよりウルトラダッシュの方が回転数が高くなりました。
チューン系はみな同じような回転数になりました。ついでにライトダッシュも同じぐらいになってます。慣性負荷が大きくなるとレブチューンが定常速度に達するまでに400ms程度かかるのに対してトルクチューンは200ms付近で定常速度まで上がります。
負荷変動を行うともう少し比較しやすい結果になりそうです。
電流波形
電流プローブを入手したので電流波形も記録しました。
使用した電流プローブはHantek CC-65です。
Amazonで¥7,000~¥8,000ぐらいで販売しています。
製品開発レベルで使用できるかは不明ですが、ホビー用途なら特に問題なく使えています。

基本的には速度波形を上下反転させた様な波形になりました。
慣性負荷を変えた場合の比較
レブチューンだと加速に時間がかかるのに合わせて電流波形も落ち着くのに必要な時間もかなり長くなっています。一方、トルクチューンは慣性負荷が増えたことで時間は長くなっているものの150ms程度で定常値に落ち着きます。どちらのモーターも始動時の最大電流には大きな変化は見られませんでした。
事前に始動電流と定常電流を測定しておけば電流センサーを使わなくても目標速度と実速度の差から電流値を推定する事ができそうです。
その他
電源はスーパーキャパシタ盛り盛り状態です。

多分電線が細すぎます。